* No hay carreteras porque inventaron 32 empresas fantasmagóricas, denuncia diputado
* Marlon Ramírez dio a conocer esto luego de que la misma abanderada de Morena a la presidencia notara el abandono a las carreteras estatales
Por Rodrigo Barranco Déctor/NOTIVER
El diputado del PRI, Marlon Ramírez, denunció que en el estado de Veracruz no hay obras carreteras porque las autoridades se dedicaron este sexenio a crear empresas fantasmas que hicieron malos trabajos de construcción o de plano no los ejecutaron.
Lo anterior lo dio a conocer en su cuenta personal de X, luego de que la misma candidata de Morena a la presidencia de la república, Claudia Sheinbaum, hiciera notar las malas condiciones carreteras estatales al viajar a Zongolica.

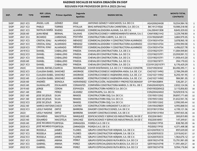
El legislador local informó que en total son 32 compañías que fueron construidas en los últimos años del actual sexenio, las cuales dio a conocer a través de un listado que publicó en el mismo post.
Además, mencionó que a esas firmas les fueron otorgados un total de 63 contratos por el orden de los casi 624 millones de pesos, que terminaron en malos proyectos.
“Candidata @Claudiashein llegó tarde a #Zongolica porque en el @GobiernoVer se robaron el dinero de @SIOPVeracruz constituyendo 32 empresas nuevas para adjudicarse al menos 63 contratos por $623,963,518.39* y hacer obras de mala calidad o peor aún no se hicieron”, escribió Marlon Ramírez.
Según ha mencionado en otras entrevistas el priista y en las comparecencias en la actual legislatura, los responsables de estas acciones son funcionarios de la Secretaría de Infraestructura y Obras Públicas.