* Y Solo Regresaron 14 millones 066.5
Por NOEMÍ VALDEZ
Reportera de NOTIVER
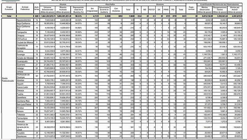
El Gobierno de Veracruz debe aclarar el uso y destino de 150 millones 623 mil 3 pesos, de acuerdo al último informe del resultado de la Fiscalización de la Cuenta Pública 2022 que entregó este martes la Auditoría Superior de la Federación (ASF) a la Cámara de Diputados.
En la segunda entrega de la Cuenta Pública el ente fiscalizador, halló un probable daño al erario cinco mil 788 millones 160.4 mil pesos, correspondientes al monto que las entidades de la administración pública no han aclarado.
De este monto, a Veracruz se le observaron inicialmente 164 millones 689 mil .7 de los cuales 14 millones 066.5 fueron recuperaciones (montos de las observaciones que implican presuntos daños o perjuicios, o ambos, estimables en dinero causados a la Hacienda Pública Federal o al patrimonio de los entes públicos federales, reintegrados al erario federal debidamente comprobados, que incluyen los intereses generados, con motivo de la intervención de la ASF) y 150 millones 623.3 continúan pendientes por aclarar.
Las revisiones que se hicieron fue a rubros de seguridad, educación, transferencias a las Universidades Públicas Estatales.
En el Fondo de Aportaciones para la Educación Tecnológica y de Adultos las observaciones fueron por un monto de 959.6; mientras que en el Fondo de Infraestructura Social para las Entidades las observaciones fueron por 94,162.
También fueron observados los Institutos Tecnológicos donde el de Acayucan tiene pendientes por aclarar por 8,873.4; Instituto Tecnológico Superior de Las Choapas 4,963.2; Instituto Tecnológico Superior de Misantla 1,811.8; el Instituto Tecnológico Superior de Tierra Blanca 4,285.5 y la Universidad Tecnológica de Gutiérrez Zamora 1,801.0.
El gasto federalizado se refiere a los recursos que son transferidos a las entidades federativas, municipios y alcaldías de la Ciudad de México; en 2022 ascendieron a 2,232,380.7 millones de pesos (mdp), de los cuales 1,169,946.4 mdp (52.4%) correspondieron a las transferencias condicionadas o gasto federalizado programable y 1,062,434.3 mdp (47.6%) a participaciones federales.
La ASF reportó que a Veracruz se le programaron 17 auditorías de las cuales 6 fueron al Gobierno del Estado y las demás a los Tecnológicos. Cabe puntualizar que la tercera entrega se realizará en el mes de febrero del 2024


