¡NO APARECEN MÁS DE TRES MIL MILLONES DE PESOS!
* En el Sector Salud... el más grave
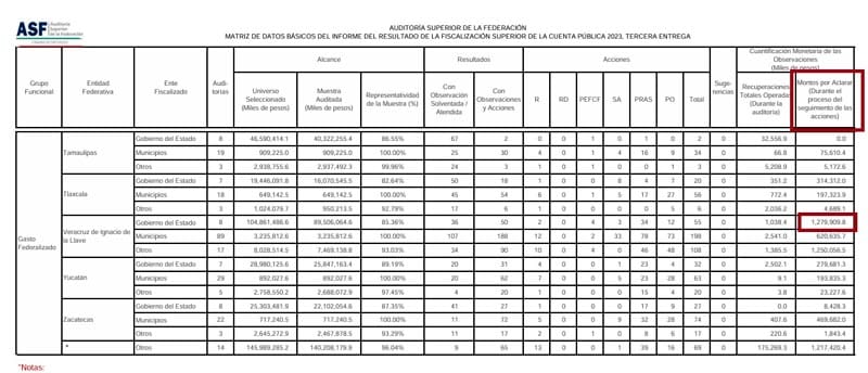
AVC/Valeria Ramos
Xalapa, Ver.- La Auditoría Superior de la Federación (ASF) identificó irregularidades en el manejo de 3 mil 150 millones de pesos en Veracruz, correspondientes a la Cuenta Pública 2023.
El informe, entregado el 20 de febrero a la Cámara de Diputados, señala que más de 2 mil 400 millones de pesos corresponden al Gobierno del Estado, encabezado por Cuitláhuac García, mientras que 620 millones están vinculados a diversos ayuntamientos.
Uno de los señalamientos más graves se encuentra en los Servicios de Salud de Veracruz (Sesver), donde a través de una auditoría forense se detectaron 1 mil 195 millones de pesos sin aclarar en contratos y convenios.
También se identificaron anomalías en el Programa de Atención a la Salud y Medicamentos Gratuitos para la Población sin Seguridad Social, con observaciones por 169 millones de pesos, así como en el Fondo de Aportaciones para los Servicios de Salud, que presenta inconsistencias en el uso de 291 millones de pesos.
El informe también expone que el Gobierno del Estado no ha justificado el destino de 849 millones de pesos en participaciones federales.

En el ámbito educativo, el Fondo de Aportaciones para la Nómina Educativa y Gasto Operativo presenta observaciones por 11 millones de pesos, mientras que el Programa de Agua Potable, Drenaje y Tratamiento registra inconsistencias por 31.7 millones de pesos.
En el caso de los subsidios federales para organismos descentralizados estatales, la ASF encontró una cuenta sin aclarar de 53.3 millones de pesos destinados a tecnológicos estatales.
Además, 88 municipios fueron señalados por la mala administración de recursos del Fondo de Aportaciones para el Fortalecimiento de los Municipios, destinados a salud e infraestructura.
Durante esta tercera entrega de auditorías, la ASF informó que se logró recuperar 4.9 millones de pesos, los cuales fueron devueltos a la Tesorería de la Federación.
El proceso de fiscalización de la Cuenta Pública 2023 se ha desarrollado en tres etapas: la primera en junio de 2024, la segunda en octubre de 2024 y la tercera en febrero de 2025.
El Gobierno de Veracruz y los municipios señalados deberán solventar las observaciones o enfrentar las consecuencias legales por el mal manejo de recursos federales.