*Claudia Sheinbaum anunció que enviará una propuesta para reducir privilegios, al tiempo que exhibió que Monterrey es el que más regidores tiene en México
CIUDAD DE MEXICO. (Agencias).- La presidenta de México, Claudia Sheinbaum, anunció que enviará el próximo lunes al Congreso un Plan B de la Reforma Electoral, luego de que la propuesta original fuera rechazada en la Cámara de Diputados al no alcanzar la mayoría calificada necesaria para modificar la Constitución.
Durante su mensaje, la mandataria lamentó la decisión de los legisladores y cuestionó a los partidos de oposición, así como a algunos integrantes de fuerzas políticas aliadas, por votar en contra de los cambios que, aseguró, buscaban reducir privilegios y el gasto público destinado a partidos y organismos electorales.

Presidenta exhibe que Monterrey es el que más regidores tiene en México
Ante el revés legislativo, la mandataria adelantó que su administración ya prepara una nueva iniciativa que mantendrá el mismo objetivo: reducir el gasto público considerado excesivo dentro de la estructura política.
El llamado Plan B contempla, entre otras medidas, poner límites al presupuesto de los congresos locales y revisar los costos de operación de los poderes legislativos estatales.

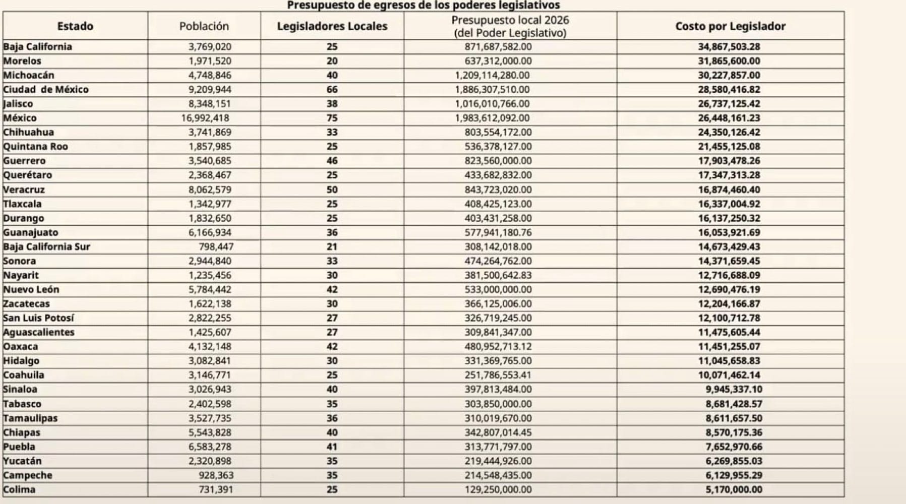
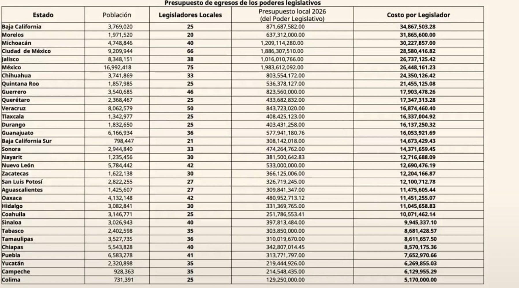
Sheinbaum expuso que actualmente existen grandes diferencias en el gasto por legislador entre entidades.
“¿Cómo nos explicamos que en algunos estados el costo por legislador sea de más de 30 millones de pesos?”, cuestionó.
La propuesta también plantea reducir el número de regidores en algunos municipios, al considerar que existen casos con estructuras administrativas sobredimensionadas.

Como ejemplo, mencionó que ciudades como Monterrey cuentan con 28 regidores, mientras que Acapulco tiene 20, lo que a su juicio representa un gasto innecesario.
“¿Ustedes creen que realmente se necesiten tantos regidores?”, preguntó.
Según explicó, el ahorro generado se destinaría a obras públicas y servicios municipales.
“Si se reducen esos cargos, el recurso se quedaría en el municipio para bacheo, drenaje o agua potable”, indicó.
Además de los ajustes presupuestales, el Plan B buscará ampliar los mecanismos de participación ciudadana, permitiendo que algunos temas electorales puedan ser sometidos a consulta popular.
“¿Por qué no preguntarle a la gente sobre los montos que reciben los partidos políticos?
Eso es democracia”, planteó.
Otro cambio propuesto sería modificar el mecanismo de revocación de mandato, para que pueda realizarse tanto en el tercer como en el cuarto año de gobierno.
Sheinbaum insistió en que la esencia de su iniciativa sigue siendo la misma: eliminar excesos dentro del sistema político.
“El objetivo sigue siendo disminuir los privilegios y fortalecer la participación ciudadana”, afirmó.
Por otra parte, la titular del Poder Ejecutivo Federal aseguró que su administración continuará impulsando reformas orientadas a la austeridad en el sector público.
“La austeridad republicana tiene que ver con que los recursos se utilicen en lo indispensable y que la mayor parte del dinero público vaya a programas sociales, escuelas, hospitales y obras para la gente”, concluyó.
Morena fue el único bloque que respaldó la reforma
De acuerdo con Sheinbaum, durante la votación del dictamen solo Morena respaldó plenamente la iniciativa, mientras que algunos legisladores del Partido Verde Ecologista de México y del Partido del Trabajo votaron parcialmente a favor.
En contraste, los partidos Partido Acción Nacional, Partido Revolucionario Institucional y Movimiento Ciudadano rechazaron la propuesta.
“Los únicos que votaron por disminuir los montos del INE y de los partidos fueron Morena, algunos diputados del Verde y uno del PT.
Los demás no”, afirmó.